Mata Pelajaran Kurikulum Baru

Pendidikan Pkn Di Sd


Buku Pembelajaran Pkn Di Sd Shopee Indonesia
shopee.co.id

Implementasi Pembelajaran Pendidikan Kewarganegaraan Dalam Pembentukan Perilaku Siswa Berwarga Negara Yang Baik Di Sd Juara Kelurahan Baciro Kecamatan Gondokusuman Kota Yogyakarta Tahun Pelajaran 2016 Academy Of Education Journal
jurnal.ucy.ac.id

1 Bab I Pendahuluan A Latar Belakang Masalah Pendidikan
studylibid.com

Penerapan Metode Pembelajaran Peer Lesson Untuk Meningkatkan Hasil Belajar Pkn Siswa Kelas 6 Sd Negeri Tonjong 1 Kota Sukabumi Jurnal Perseda Jurnal Pendidikan Guru Sekolah Dasar
jurnal.ummi.ac.id

Pendidikan P Kn Di Sd
www.slideshare.net

Pembelajaran Pkn Di Sd Modul 3 Ppt Download
slideplayer.info

Implementasi Pendekatan Ekspositori Dalam Meningkatkan Hasil Belajar Pkn Al Azkiya Jurnal Ilmiah Pendidikan Mi Sd
journal.iainlangsa.ac.id

Pembelajaran Pkn Di Sd
pt.slideshare.net

Pendidikan Kewarganegaraan 1 Untuk Sd Kelas I By Anis Kusumawardani
www.goodreads.com

Pembelajaran Pkn Di Sd Modul 3 Ppt Download
slideplayer.info

Pembelajaran Pkn Di Sd
www.slideshare.net

Mensimulasikan Media Pembelajaran Pkn Fakultas Ilmu Pendidikan
fip.uny.ac.id

Buku Ajar Pembelajaran Pkn Sd Widya Trio Pangestu M Pd
widyopangestu.blogspot.co.id

Http Eprints Umsida Ac Id 3603 1 Buku 20ajar 20 20pkn 20pgsd 20versi 20full 20book Pdf

Buku Pkn Sd 3 For Android Apk Download
apkpure.com

Apa Mengapa Dan Untuk Apa Mata Pelajaran Pendidikan Kewarganegaraan Diberikan Di Sd Mi Ut Kita
www.utkita.web.id

Worksheet Pkn Kelas 1 Sd Printable Worksheets And Activities For Teachers Parents Tutors And Homeschool Families
28.24.peach.ghcatwalk.org

Pembelajaran Pendidikan Pancasila Dan Kewarganegaraan Ppkn Di Sd Mi Peluang Dan Tantangan Di Era Industri 4 0 Prenadamedia Group
prenadamedia.com

Jual Ori Pembelajaran Pkn Di Sd Ut Buku Pendidikan Jakarta Pusat King Jaya Buku Tokopedia
www.tokopedia.com

Ruang Lingkup Kajian Dan Tujuan Pembelajaran Pkn Di Sd Mi Abdi Madrasah
www.abdimadrasah.com

Soal Ujian Ut Pgsd Pdgk4201 Pembelajaran
id.123dok.com

Hakikat Pendidikan Kewarganegaraan Di Sd Youtube
www.youtube.com

Pembelajaran Pendidikan Kewarganegaraan Di Sekolah Dasar Blibuku Com
www.blibuku.com

Pembelajaran Pkn Di Sd
www.slideshare.net

Pendidikan Kewarganegaraan 1 Bangga Menjadi Insan Pancasila Untuk Sd Kelas I By Sarjan
www.goodreads.com

Pin On Dokumen Dan Aplikasi Xlsx Pendidikan
www.pinterest.co.kr

Pdgk4201 Pembelajaran Pkn Di Sd Perpustakaan Ut
www.pustaka.ut.ac.id

Hakikat Pendidikan Kewarganegaraan Pengertian Peta Konsep Visi Misi
ppkn.co.id

Pendidikan Di Filipina Wikipedia Bahasa Indonesia Ensiklopedia Bebas
id.wikipedia.org

Buku Original Pendidikan Pkn Di Sd Edisi 1 Udin S Winataputra Dkk Universitas Terbuka Di Lapak Al Rushd Bookstore Bukalapak
www.bukalapak.com

Hakikat Fungsi Dan Tujuan Pendidikan Pkn Di Sd
id.scribd.com

Urgensi Nilai Dan Moral Sebagai Subteoritis Pembelajaran Pkn Di Sd El Muhbib Jurnal Pemikiran Dan Penelitian Pendidikan Dasar
ejournal.iaimbima.ac.id

Bab I Pendahuluan A Latar Belakang Pendidikan Kewarganegaraan Pkn Merupakan Salah Satu Mata Pdf Free Download
docplayer.info

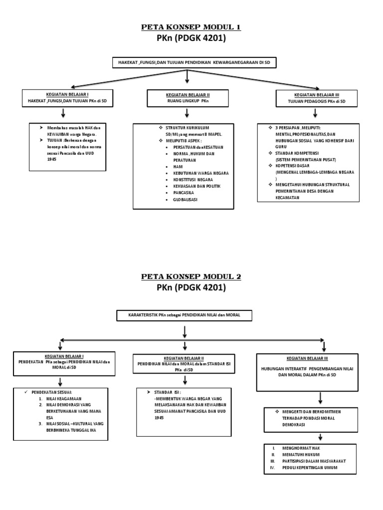
Peta Konsep Modul 1 2 3 4
id.scribd.com

Pdf Implementasi Pendidikan Karakter Pada Pembelajaran Di Sekolah Dasar
www.researchgate.net

Pembelajaran Pkn Di Sd Authorstream
www.authorstream.com

Doc Peta Konsep Modul 2 Pdgk4201 Pembelajaran Pkn Di Sd Anisa V R I S T I Rahayu Academia Edu
www.academia.edu

Informasi Dunia Pendidikan Pkn Konsep Belajar Pkn Sd
informasi2-pendidikan.blogspot.com

Modul 8 Pkn
studylibid.com

Doc Nama Dewi Yuniana Ruang Lingkup Pkn Di Sd Umi Farida Academia Edu
www.academia.edu

Makalah Pembelajaran Pkn Di Sd Modul 3 Docx
id.scribd.com

Pendidikan Kewarganegaraan Untuk Sd Mi Kelas 1 K13n
snd.erlangga.co.id

Buku Pkn Sd 4 For Android Apk Download
apkpure.com

Paradigma Baru Pendidikan Kewarganegaraan Di Sekolah Dasar
diseruput.blogspot.com

20 Best Belajar Pkn Images History Infographic Education Poster Sejarah Indonesia
id.pinterest.com

Pembelajaran Pkn Di Sd
www.slideshare.net

Ppt Pkn Sebagai Pendidikan Nilai Dan Moral Powerpoint Presentation Free Download Id 6326403
www.slideserve.com

Xh3h6avtcco30m

Jual Pembelajaran Pkn Di Sd Jakarta Timur Fakhirahonlineshop Tokopedia
www.tokopedia.com

Jual Pembelajaran Pendidikan Pancasila Dan Kewarganegaraan Ppkn Di Sd Mi Jakarta Timur Rumah Aksara Tokopedia
www.tokopedia.com

Pendidikan Kewarganegaraan 1 Bangga Menjadi Insan Pancasila Untuk Sd Kelas I By Sarjan
www.goodreads.com

Proses Pembelajaran Pkn Dalam Meningkatkan Kreativitas Peserta Didik Melalui Pembelajaran Berbasis Masalah Di Sman 3 Probolinggo Modeling Jurnal Program Studi Pgmi
jurnal.stitnualhikmah.ac.id

Pembelajaran Pkn Di Sd
id.scribd.com

Keterampilan Mengadakan Variasi Pkn Di Sd Youtube
www.youtube.com

Kurikulum Pkn Di Sd
studylibid.com

Pendidikan Kewarganegaraan Sd Mi Kelas I Setiati Widihastuti Fajar Rahayuningsih Mukti Ali 9789794629260 Amazon Com Books
www.amazon.com

Modul 3 Pembelajaran P Kn Di Sd
www.slideshare.net

Mengenal 7 Mata Pelajaran Sd Di Kurikulum 2013 Apa Saja Kelas Pintar
www.kelaspintar.id

Pembelajaran Pkn Di Sd Universitas Terbuka Repository
repository.ut.ac.id

Buku Pkn 6 For Android Apk Download
apkpure.com

Hakikat Pendidikan Kewarganegaraan Pengertian Peta Konsep Visi Misi
ppkn.co.id

Mengajar Mata Pelajaran Pendidikan Kewarganegaraan Pkn Di Sd Negeri 4 Sabang Webblog Kkn Antar Bangsa Kelompok 10 Cot Ba U Sabang
webblogkkn.unsyiah.ac.id

Tugas Kuliah Makalah Ppkn Hakikat Fungsi Dan Tujuan Pkn Di Sekolah Dasar
sutryany.blogspot.com

Penerapan Nilai Cinta Tanah Air Pada Pembelajaran Pendidikan Kewarganegaraan Di Kelas Iv Sekolah Dasar Jurnal Gentala Pendidikan Dasar
online-journal.unja.ac.id

Kekurangan Guru Anggota Satgas Pam Puter Mengajar Pkn Di Sd Gmist Pniel Kawaluso Beritamanado Com Berita Terkini Manado Sulawesi Utara
beritamanado.com

2020 Kelas 5 Sd Mapel Pendidikan Kewarganegaraan Android App Download Latest
www.99images.com

Pelajaran Pkn Di Sd
www.siswapelajar.com

Pembelajaran Pkn Di Sekolah Dasar Untuk Pgsd Dan Guru Sd Fathurrohman Buku Pendidikan Di Lapak Toko Buku Barokah Ilmu Bukalapak
www.bukalapak.com

Pin On Dokumen Dan Aplikasi Xlsx Pendidikan
id.pinterest.com

Doc Sap Pendidikan Pkn Sd Stkip Docx Wisda Miftakhul Academia Edu
www.academia.edu

Http Repository Ut Ac Id 4011 2 Pdgk4201 Tm Pdf

Implementasi Pendidikan Karakter Melalui Mata Pelajaran Pendidikan Kewarganegaraan Di Sd N Bendungan Iv Wates Kulon Progo Tahun Ajaran 2011 2012 Lumbung Pustaka Uny
eprints.uny.ac.id

Makalah Hakikat Karakteristik Pengertian Tujuan Dan Ruang Lingkup Pendidikan Kewarganegaraan Ratnawahyu
ratnawahyu36.wordpress.com

Pengertian Pkn Manfaat Tujuan Fungsi Ruang Lingkup Penting Di Sd
ppkn.co.id

Rangkuman Pkn Kelompok 1 Dian Ratnawati Ppt Download
slideplayer.info

Pin Di Soal Uasbn 2019 Sd
www.pinterest.com

Modul 3 Pembelajaran P Kn Di Sd
www.slideshare.net

Rangkuman Pkn Kelompok 1 Dian Ratnawati Ppt Download
slideplayer.info

Pdf Analisis Sikap Siswa Dalam Pembelajaran Pkn Di Sd Inpres Pampang I Makassar
www.researchgate.net

Pdf Integrasi Pendidikan Karakter Ke Dalam Pembelajaran Kewarganegaraan Di Sekolah Dasar
www.researchgate.net

Buku Pendidikan Kewarganegaraan Kelas 3 Sd Buku Sekolah Elektronik
annibuku.com

Pembelajaran Pkn Di Sd Resume Modul 1 4
id.scribd.com

Meningkatkan Hasil Belajar Pkn Tentang Lembaga Pemerintahan Desa Academy Of Education Journal
jurnal.ucy.ac.id

Pdf Pembelajaran Pkn Yang Inovatid Di Sekolah Dasar
www.researchgate.net

Penanaman Karakter Pada Pendidikan Kewarganegaraan Di Sd Fkip E Proceeding
jurnal.unej.ac.id

Pengembangan Media Pop Up Book Peripanca Pada Pembelajaran Pendidikan Pancasila Dan Kewarganegaraan Sekolah Dasar Tema Tugasku Sehari Hari Di Kelas Ii Sekolah Dasar Dinamika Ppkn Sekolah Dasar
journal.pgsdfipunj.com

Fillable Online Bab 1 Pendahuluan A Latar Belakang Umy Repository Fax Email Print Pdffiller
www.pdffiller.com

Materi Dan Pembelajaran Pkn Sd
id.scribd.com

Pembelajaran Pkn Di Sd
pt.slideshare.net

Pembelajaran Pendidikan Pancasila Dan Kewarganegaraan Ppkn Di Sd Mi Peluang Dan Tantangan Di Era Industri 4 0 Prenadamedia Group
prenadamedia.com

Pin Di Download
id.pinterest.com

Peta Konsep Pembelajaran Pkn Di Sd
id.scribd.com

Pendidikan Di Filipina Wikipedia Bahasa Indonesia Ensiklopedia Bebas
id.wikipedia.org

Pembelajaran Pkn Di Sd Modul 3 Ppt Download
slideplayer.info

Pembelajaran Pkn Di Sd Modul 8 Dan Modul 9 Ppt Download
slideplayer.info

Buku Pembelajaran Pendidikan Kewarganegaraan Di Sekolah Dasar Original Shopee Indonesia
shopee.co.id

Pentingnya Pendidikan Kewarganegaraan Bagi Mahasiswa Educenter
www.educenter.id

Http Www Visualcerdasindonesia Com Designs 1 Memahami Pengertian Organisasi Pendidikan Kewarganegaraan Pkn Kelas 5 Descr Pendidikan Belajar Organisasi
id.pinterest.com

Pdf Tugas Kelompok Modul 1 Dan 2 Pembelajaran Pkn Di Sd Pdgk 4201 Anisa V R I S T I Rahayu Academia Edu
www.academia.edu

Pembelajaran Pendidikan Pancasila Dan Kewarganegaraan Ppkn Di Sd Mi Peluang Dan Tantangan Di Era Shopee Indonesia
shopee.co.id

close