Mata Pelajaran Kurikulum Baru

Pelajaran Ipa Kelas 12


Soal Ipa Kelas 10 Smk Semester 1 Beserta Jawabannya Guru Ilmu Sosial
www.ilmusosial.id

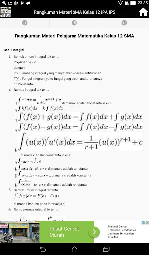
Materi Matematika Kelas Xii Ipa Sma Integral Ibu Guru Susi Sr
ibugurususi.blogspot.com

Kelas Xii Ipa 3 Sma Ywka Palembang
smaywkapalembang.wordpress.com

Mega Book Pelajaran Sma Ma Ipa Kelas X Xi Xii 6 In 1 Shopee Indonesia
shopee.co.id

Ppt Bahan Ajar Mata Pelajaran Bahasa Inggris Kelas Xii Ipa Ips Semester Ganjil Powerpoint Presentation Id 2958543
www.slideserve.com

Materi Sma Kelas 12 Ipa For Android Apk Download
apkpure.com

Spbm Ipa Kelas 12 Buku Alat Tulis Buku Pelajaran Di Carousell
id.carousell.com

Materi Kimia Sma Kelas 10 11 12 X Xi Xii Tips Belajar Terbaik
www.studiobelajar.com

Jual Mega Book Pelajaran Sma Ma Ipa Kelas X Xi Xii 6 In 1 Jakarta Selatan Kawahbookstore Tokopedia
www.tokopedia.com

5 Buku Bimbel O Friends Ipa Kelas Xii 3 Buku Alat Tulis Buku Pelajaran Di Carousell
id.carousell.com

Jual Super Lengkap Pelajaran 6 In 1 Sma Ipa Kelas 10 11 12 Tim Guru Kab Bandung Barat Scientia Bookstore Tokopedia
www.tokopedia.com

Materi Pelajaran Bahasa Inggris Sma Kelas 12 Semester 1 Dan 2 Jagoan Bahasa Inggris
www.jagoanbahasainggris.com

Soal Ipa Kelas 12 Sma Ma 2020 Dan Kunci Jawabannya
majalahpendidikan.com

Materi Ipa Smk Kelas 10 11 12 Guru Ilmu Sosial
www.ilmusosial.id

Lembar Kerja Siswa Lks Pembuatan Tempe Kelas Xii Ipa Biologi
www.suaraguru.com

Download Buku Matematika Kelas 12 Sma Kurikulum 2013 Revisi 2018 Matematrick
www.matematrick.com

Materi Matematika Kelas 12 Guru Ilmu Sosial
www.ilmusosial.id

Materi Pelajaran Fisika Sma Semester 1 2 Kelas 12
www.bukupaket.com

Download Rpp Ktsp Sejarah Kelas Xii Ipa Sma Armaila
www.armaila.com

Materi Sma Kelas 12 Ipa For Android Apk Download
apkpure.com

Latihan Soal Penilaian Akhir Semester 2019 Ipa Kelas 12
blog.ruangguru.com

Bank Soal Ujian Sekolah Ipa Kelas Xii Smk Pdf
id.scribd.com

Paket A Kelas Xii Pts 1 1 Docx Business
www.scribd.com

Rangkuman Materi Kimia Kelas Xii Semester 2
www.slideshare.net

Materi Ipa Smk Amdal
www.slideshare.net

Matematika Ipa Kelas 12 Sekolah Mu
www.sekolah.mu

Doc Jadwal Pelajaran Kelas Xii Ipa 3 Senin Kamis Kimia Jum At Sabtu Nda Lind Academia Edu
www.academia.edu

Kisi Kisi Soal Ipa Kelas 12
www.slideshare.net

Soal Ipa Kelas Xii
www.slideshare.net

Kumpulan Materi Dan Soal Matematika X Xi Xii Ipa Kurikulum 2013 Edisi Revisi 2017 Tahun Ajaran 2020 2021 Jibang Pardamean Hutagaol Berbagi Ilmu Matematika Informasi
www.ruangparabintang.com

Materi Biologi Kelas 12 Semester 1 Kurikulum 2013 Guru Ilmu Sosial
www.ilmusosial.id

Jawaban Uas Ganjil Tik Kelas Xii Ipa Tahun Pelajaran 2011 2012 Atik Dhama
atik.web.id

Peningkatan Hasil Belajar Matematika Siswa Melalui Penerapan Rpp Dengan Model Group Investigation Berbasis Pendidikan Karakter Di Kelas Xii Ipa 1 Sma Negeri 5 Bengkulu Selatan Tahun Pelajaran 2014 2015 Pakar Pendidikan
pakar.pkm.unp.ac.id

Kls Xii Ipa 1 Sma Pgri Prabumulih Facebook
www.facebook.com

Rpp Kimia Kelas Xii Ipa
studylibid.com

Buku Pegangan Guru Dan Siswa Kurikulum 2013 Edisi Revisi 2018 Matematohir
matematohir.wordpress.com

Materi Ipa Kelas 5a Subtem 1 Youtube
www.youtube.com

Jual Xplore Ulangan Harian Sma Ma Ipa Kelas 12 Kota Tangerang Selatan Althea Book Store Tokopedia
www.tokopedia.com

Daftar Buku Pelajaran Kelas Xii Ipa Tahun Ajaran 2020 2021 Poris Indah School
www.porisindah.sch.id

Doc Rpp Ipa Smk Kelas Xii Fita Lestarifa Academia Edu
www.academia.edu

Soal Ipa Kelas 5 Semester 1 By Mbund Via Slideshare Ipa Semester Journal
in.pinterest.com

Materi Ipa Kelas X Smk
www.slideshare.net

Super Pintar Pelajaran Sma Ma Ipa Kelas X Xi Xii Best Seller Shopee Indonesia
shopee.co.id

Rangkuman Materi Ipa Kelas 8 Bab 6 Portal Edukasi
portaledukasi.org

Materi Ipa Kls Xii Authorstream
www.authorstream.com

Mata Pelajaran Bahasa Inggris Sat Pendidikan Sma Kelas Program Xii Ipa
www.scribd.com

Super Pintar Pelajaran Sma Ma Ipa Kelas X Xi Xii Shopee Indonesia
shopee.co.id

Pin Di Modul Pelajaran
id.pinterest.com

Buku Xplore Ulangan Harian Muslihun S Si Mizanstore
mizanstore.com

Materi Matematika Kelas Xii Ipa Sma Barisan Dan Deret Aritmetika Ibu Guru Susi Sr
ibugurususi.blogspot.com

Jawaban Uas Ganjil Tik Kelas Xii Ipa Tahun Pelajaran 2011 2012 Atik Dhama
atik.web.id

Blog Archives Baldcirclelaptop
baldcirclelaptop399.weebly.com

Mega Book 6 In 1 Pelajaran Sma Ma Ipa Kelas X Xi Xii C Media Buku Pelajaran Sma Original Shopee Indonesia
shopee.co.id

Index Mata Pelajaran Pahamify Belajar Jadi Seru
pahamify.com

Cd Pelajaran Matematika Jurusan Ipa Kelas 12 Sma
www.kreatifcd.web.id

Latihan Soal Penilaian Tengah Semester 2019 Matematika Ipa Kelas Xii
blog.ruangguru.com

Materi Soal Biologi Sma Kelas 12
edutore.com

Pengaruh Kebijakan Try Out Terhadap Prestasi Siswa Dalam Mata Pelajaran Kimia Kelas Xii Ipa Di Sekolah Menengah Atas Negeri 1 Talibura Chemur
jurnal.ikipmumaumere.ac.id

Guru Penggerak Kukar Kim Web Mapel Ipa Sma Kelas Xii Youtube
www.youtube.com

Silabus Biologi Berkarakter Sma Kelas Xii
studylibid.com

Materi Matematika Kelas 12 Sma Kurikulum 2013 Semester 1 2 Lengkap
www.bukupaket.com

Jual Spbm Siap Pintar Belajar Mandiri Sma Ma Ipa Kelas Xii Jakarta Selatan Bedahbuku Tokopedia
www.tokopedia.com

Gelombang Fisika Fisika Buku Tulis Buku Pelajaran
id.pinterest.com

Download Buku Kurikulum Ktsp 2006 Sma Ma Kelas 12 Semester 1 Dan 2 Lengkap Salam Edukasi
www.salamedukasi.com

Modul Paket C Ipa Kelas 12 K13 Di Lapak Modul Kesetaraan Paket A B C Bukalapak
www.bukalapak.com

Soal Ipa Kelas 12 Sma Ma Smk 2020 Semester 1 2
materibelajar.co.id

Rangkuman Materi Sejarah Sma Guru Ilmu Sosial
www.ilmusosial.id

Jual Bahas Habis Habisan Semua Mata Pelajaran Ipa Kelas 3 Sma Jakarta Pusat T B Pustaha 5 Tokopedia
www.tokopedia.com

Pin Di Modul Pelajaran
id.pinterest.com

Soal Ipa Kelas 12 Sma Ma Smk 2020 Semester 1 2
materibelajar.co.id

Spbm Superlengkap Mudah Dipahami Sma Ma Ipa Kelas Xii 6 In 1 Bukabuku Com Toko Buku Online
www.bukabuku.com

Pelajaran Biologi Kampus Impian
kampusimpian.com

Mega Book Pelajaran Sma Ma Ipa Kelas X Xi Xii Tim Guru Eduka Belbuk Com
www.belbuk.com

Soal Ujian Akhir Semester Ipa Smk Kelas Xii
www.slideshare.net

Jawaban Uas Ganjil Tik Kelas Xii Ipa Tahun Pelajaran 2011 2012 Atik Dhama
atik.web.id

Materi Pelajaran Biologi Sma Ma Semester 1 2 Kelas 12
www.bukupaket.com

Latihan Soal Pts Kelas 12 Sma Ipa Semester Ganjil 2020
blog.ruangguru.com

Biologi Gonzaga Silabus Klas Xii Ipa
biologigonz.blogspot.com

Materi Matematika Kelas Xii Ipa Sma Vektor Ibu Guru Susi Sr
ibugurususi.blogspot.com

Jual Produk Ipa Kelas 12 Murah Dan Terlengkap Agustus 2020 Bukalapak
www.bukalapak.com

Https Alfysta Wordpress Com 2012 11 29 Pindahan Blog Https Alfysta Files Wordpress Com 2012 11 Widged Gif Widged 2018 02 28t02 35 42 00 00 Monthly Https Alfysta Wordpress Com 2016 09 29 Ingin Dapatkan Artikel Menarik Dan Berkualitas Mengenai
alfysta.wordpress.com

Materi Sejarah Indonesia Kelas 12 Sma K Semester 1 2 Lengkap
www.bukupaket.com

Rangkuman Mapel Sma Kelas 12 Aplikasi Di Google Play
play.google.com

Jual Buku Xplore Ulangan Harian Sma Ma Ipa Kelas 12 Grasindo Ori Kab Sidoarjo Biangbuku Tokopedia
www.tokopedia.com

Materi Matematika Kelas 12 Guru Ilmu Sosial
www.ilmusosial.id

Program Linear 3 Sma
mintapalon.atwebpages.com

Download Rangkuman Semua Mapel Sma Kelas 12 Ipa Ips Free For Android Rangkuman Semua Mapel Sma Kelas 12 Ipa Ips Apk Download Steprimo Com
steprimo.com

Makalah Biologi Materi Kelas Xii Ipa Bioteknologi Dalam Bidang Peret
www.slideshare.net

Mata Pelajaran Bahasa Inggris Sat Pendidikan Sma Kelas Program Xii Ipa
www.scribd.com

Doc Rpp Bio Kelas Xii Giganthea Flora Academia Edu
www.academia.edu

Powerpoint Materi Pkn Smk Kelas Xii Peatix
powerpoint-materi-pkn-smk-kelas-xii-11.peatix.com

Soal Gejala Alam Biotik Dan Abiotik Smk Guru Ilmu Sosial
www.ilmusosial.id

Jual Bintang Wahyu Super Lengkap Pelajaran 6 In 1 Sma Ipa Kelas 10 11 12 By Tim Guru Indonesia Buku Edukasi Online September 2020 Blibli Com
www.blibli.com

Blog Archives Fasraaa
fasraaa613.weebly.com

Big Pelajaran 6 In 1 Sma Ma Ipa Kelas 10 11 12 Shopee Indonesia
shopee.co.id

Soal Ipa Kelas 12 Sma Ma Smk 2020 Semester 1 2
materibelajar.co.id

Kelas 12 Biologi Pola Pola Hereditas Video Pendidikan Indonesia Youtube
www.youtube.com

Materi Pelajaran Ipa Kelas 4 Sd Mi Semester 1 2
www.bukupaket.com

Silabus Biologi Kelas Xii Smt 2 Doc Google Drive
drive.google.com

Kumpulan Rumus Fisika Sma Untuk Kelas Xii
www.slideshare.net

close