Mata Pelajaran Kurikulum Baru

Pelajaran Bahasa Indonesia Kelas 9 Semester 1


Jual Buku Pr Bahasa Indonesia Smp Mts Kelas Ix Kota Depok Bumimedia Tokopedia
www.tokopedia.com

Program Tahunan Dan Program Semester 1 Kelas 9 Kurikulum 2013 Pelajaran Bahasa Indonesia Di Jari Kamu
www.wartabahasa.com

Buku Pegangan Guru Pr Bahasa Indonesia Smp Kelas 9 Kurikulum 2013 Intan Pariwara Revisi 2018 Unbk Smp 2019 Di Lapak Baredstore Bukalapak
www.bukalapak.com

Agen Asuransi Jiwa Dan Kesehatan Kunci Jawaban Buku Pr Ips Terpadu Kelas 8 Intan Pariwara Showing 1 1 Of 1
www.goodreads.com

Materi Bahasa Inggris Kelas 9 Smp Mts Kurikulum 2013 Edisi Revisi 2018
www.amongguru.com

Soal Bahasa Indonesia Kelas 9 Smp Mts Pg Dan Essay 2020
materibelajar.co.id

Ppt Pembelajaran Bahasa Indonesia Kelas Ix Powerpoint Presentation Id 7037802
www.slideserve.com

Rpp 1 Lembar Bhs Indonesia Kelas 9 Smp Mts Antapedia Com
www.antapedia.com

Materi Pelajaran Bahasa Indonesia Kelas 4 Sd Mi Semester 1 2 Bab 3 Kegemaran
id.123dok.com

Program Tahunan Dan Program Semester 1 Kelas 9 Kurikulum 2013 Pelajaran Bahasa Indonesia Di Jari Kamu
www.wartabahasa.com

Buku Pegangan Guru Dan Siswa Kurikulum 2013 Edisi 2015 Matematohir
matematohir.wordpress.com

Kunci Jawaban Lks Bahasa Indonesia Kelas 9 Semester 1 Guru Ilmu Sosial
www.ilmusosial.id

Bahasa Indonesia Kelas 9 Semester 1 Guru Ilmu Sosial
www.ilmusosial.id

Rangkuman Materi Pelajaran Bahasa Indonesia Smp Kelas 9 Semester 1 Materibahasa Com
materibahasa.com

Buku Paket Bahasa Indonesia Kelas 9 Semester 1 Dan 2 Revisi 2018
www.ilmuguru.org

Soal Bahasa Inggris Kelas 9 Smp Mts Soal Pg Dan Essay 2020
materibelajar.co.id

Download Buku Sejarah Indonesia Kurikulum 2013 Semester 2 Dertnoscore S Blog
dertnoscore.hatenablog.com

Guru Berbagi Rpp 1 Lembar Bahasa Indonesia Kelas 9 Smp Mts K13
guruberbagi.kemdikbud.go.id

Doc Soal Uts Bahasa Indonesia Kelas 9 Semester Ganjil Hamzah Attamimi Academia Edu
www.academia.edu

Rpp Bahasa Indonesia Smp Mts Kelas 9 Kurikulum 2013 Semester 1 Dan 2 Beranda Pendidik
berandapendidik.blogspot.com

Soal Ips Kelas 9 Lasopaindustrial
lasopaindustrial387.weebly.com

Buku Paket Kurikulum 2013 Smp Mts Kelas 9 Semester 1 Dan 2 Lengkap Simadrasah
simadrasah.com

Worksheet Bahasa Indonesia Kelas 1 Printable Worksheets And Activities For Teachers Parents Tutors And Homeschool Families
generation.bratz.cirhep.org

Tugas Buku Paket Bahasa Indonesia Kelas 9 Halaman 39 Bantu Jawab Ya Kak Brainly Co Id
brainly.co.id

Soal Uas Bahasa Indonesia Kelas 9 Semester 1 Dan Kunci Jawaban Teori Dan Soal
mataseluruhdunia107.blogspot.com

Buku Bahasa Indonesia Smp Kelas 9 K13 Revisi 2018 Shopee Indonesia
shopee.co.id

Soal Bahasa Inggris Kelas 9 Smp Mts Soal Pg Dan Essay 2020
materibelajar.co.id

Download Buku Kurikulum Ktsp 2006 Smp Mts Kelas 9 Semester 1 Dan 2 Lengkap Salam Edukasi
www.salamedukasi.com

Lengkap 50 Contoh Soal Uts Bahasa Inggris Kelas 9 Smp Mts Semester Genap Terbaru Bospedia
www.bospedia.com

Buku Paket Halaman 123 Bahasa Indonesia Kelas 9 Guru Ilmu Sosial
www.ilmusosial.id

Contoh Soal Ulangan Harian Bahasa Inggris Kelas 9 Smp Part I Paja Tapuih
www.itapuih.com

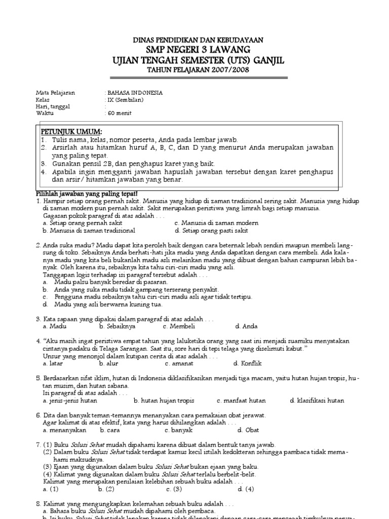
0708 Uts Ganjil Bahasa Indonesia Kelas 9
id.scribd.com

Download Kumpulan Soal Uts Kelas 9 Smp Mts Semester 1 K13 Lengkap Kaskus
m.kaskus.co.id

Bahasa Indonesia Smp Kelas 9 Kurikulum 2013 Aplikasi Di Google Play
play.google.com

Silabus Bahasa Indonesia Kelas 9 Smp Mts K13 Revisi 2018 Websiteedukasi Com
www.websiteedukasi.com

Soal Bahasa Indonesia Kelas 9 Kurikulum 2013 Dan Kunci Jawabannya
rumus.co.id

Jawaban Buku Bahasa Indonesia Kelas 9 Semester 1 K13 Halaman 26 27 Brainly Co Id
brainly.co.id

Contoh Soal Uts Ganjil Smp Kelas 9 Belajar Bahasa Inggris Online Gratis
www.kursusmudahbahasainggris.com

Jawaban Bahasa Indonesia Kelas 9 Hal 63 Sampai Halaman 75 Tolong Dijwb Ya Kak Besok Dikumpulkan Brainly Co Id
brainly.co.id

Kisi Kisi Indikator Soal Ulangan Harian Kelas 9 Semester 1 Kurikulum 2013 Revisi Pelajaran Bahasa Indonesia Di Jari Kamu
www.wartabahasa.com

Buku Paket Bahasa Indonesia Kelas 9 Kurikulum 2013
www.cadiak.id

Rpp Daring Bahasa Indonesia Kelas 9 Semester Ganjil Kurikulum 2013 Tahun Pelajaran 2020 2021 Didno76 Com
www.didno76.com

Kunci Jawaban Latihan Soal Uts Pts Kelas 9 Smp Semester Ganjil Bahasa Indonesia Dan Bahasa Inggris Pos Kupang
kupang.tribunnews.com

Soal Pas Bahasa Indonesia Kelas 9 Semester 1 2019 2020 Info Pendidikan Terbaru
www.guru-id.com

Nadha On Twitter ˏˋ Catatan Pelajaran Kelas 9 ˎˊ A Thread
twitter.com

Jual Lks Bahasa Indonesia Kelas 9 Semester 1 2020 Kota Madiun Lks Smk Sma Smp Mts Sd Tokopedia
www.tokopedia.com

Blog Archives Bostonxsonar
bostonxsonar113.weebly.com

0708 Uts Ganjil Bahasa Indonesia Kelas 9
id.scribd.com

Kelas 9 Smp Ppkn Kurikulum 2013 Semester 1 Dan 2 Youtube
m.youtube.com

Rpp 1 Lembar Smp Bahasa Indonesia Kelas 7 8 9 Revisi 2020 Halaman All Kompasiana Com
www.kompasiana.com

Rangkuman Materi Bahasa Indonesia Kelas 8 Bab 1 Portal Edukasi
portaledukasi.org

Buku Fokus Smp Bahasa Indonesia Kelas 9 Semester 1 Edisi Revisi 2017 Lazada Indonesia
www.lazada.co.id

Kunci Jawaban Dan Pembahasan Bahasa Indonesia Kelas Xi Semester 2 Pdf Free Download
docplayer.info

Kunci Jawaban Buku Laket Bahasa Indonesia Kelas 9 K13 Revisi 2018 Halaman 44 Brainly Co Id
brainly.co.id

Bank Soal Kelas 9 Bahasa Indonesia Bank Soal Untuk Smp
www.banksoalsmp.com

Ulangan Kelas 9 Smp N 2 Kalinyamatan Jepara
www.smpn2kalinyamatan.sch.id

Materi Bahasa Indonesia Kelas 9 Smp Mts Kurikulum 2013 Edisi Revisi 2018
www.amongguru.com

Download Silabus Bahasa Indonesia Kelas 7 8 9 Smp K13 Revisi 2019 Kherysuryawan Id
www.kherysuryawan.id

Pemetaan Ki Kd Bahasa Indonesia Kelas 9 Semester 2 K13
soal-dankuncijawaban.blogspot.com

Soal Uas Pas Bahasa Indonesia Kelas Ix Smp Mts Terbaru Dapat Didownload Pendidikangratis Id
pendidikangratis.id

Rpp Bahasa Indonesia Kls 9 Smp Ktsp 2015 2016 Revisi
www.slideshare.net

10 Gambar Catatan Pelajaran Terbaik Pencatatan Buku Catatan Buku
id.pinterest.com

Buku Ringkasan Materi Dan Latihan Brilian Bhs Indonesia 4 Grafindo Media Pratama
grafindo.co.id

Latihan Soal Pts Bahasa Inggris Kelas 8 Semester 1 Portal Edukasi
portaledukasi.org

Kisi Kisi Soal Bahasa Inggris Sma Semester Ganjil Kelas Xi Peatix
kisi-kisi-soal-bahasa-inggris-sma-semester-ganj-33.peatix.com

Download Silabus Dan Rpp Bahasa Indonesia Kelas 9 Smp Mts K13
www.amongguru.com

Nadha On Twitter ˏˋ Catatan Pelajaran Kelas 9 ˎˊ A Thread
twitter.com

Kelas 9 Smp Mts Master Book Ulangan Harian Solusi Buku
www.solusibuku.com

Soal Bahasa Indonesia Kelas 9 Smp Mts 2020 Dan Kunci Jawabannya
majalahpendidikan.com

Materi Bahasa Indonesia Kelas 9 Smp Semester 1 2
www.bukupaket.com

Soal Dan Kunci Jawaban Pts Bahasa Indonesia Kelas 9 Semester Ganjil Didno76 Com
www.didno76.com

Powerpoint Materi Pelajaran Pkn Kelas 9 69 Cameroon Vibes
pluminapsdeal.over-blog.com

Rangkuman Materi Pelajaran Bahasa Indonesia Kelas 9 Smp Lengkap
pustakamateri.web.id

Naskah Soal Uts Kelas 7 Bahasa Inggris
www.slideshare.net

Doc Rpp Bahasa Indonesia Kelas Ix Docx Muhamad Apriyatna Academia Edu
www.academia.edu

Kisi Kisi Soal Bahasa Inggris Sma Semester Ganjil Kelas Xi Arts N More Powered By Doodlekit
angelamoore1.doodlekit.com

Promes Bahasa Indonesia Kelas 9 Semester 2 K13 Terbaru Websiteedukasi Com
www.websiteedukasi.com

Powerpoint Materi Pelajaran Pkn Image By Lat92suozzo
picsart.com

Pin Di Kids And Parenting
id.pinterest.com

Rpp Revisi 2017 Bahasa Indonesia Kelas 9 Smp
id.scribd.com

Latihan Soal Pts Kelas 9 Smp Semester Ganjil 2020
blog.ruangguru.com

Jual Buku Mandiri Erlangga Bahasa Indonesia Kelas 9 Smp Kunci Jawaban Jakarta Barat Erlanggaa Jaya Tokopedia
www.tokopedia.com

Lengkap 55 Contoh Soal Uts Bahasa Indonesia Kelas 9 Smp Mts Dan Kunci Jawaban Semester Ganjil Terbaru 2020
www.pelajarit.com

Bahasa Indonesia Kelas 9 Semester 1 Guru Ilmu Sosial
www.ilmusosial.id

Smpn 2 Ulubelu Middle School Facebook 7 Photos
www.facebook.com

Soal Ulangan Ujian Uas Bahasa Indonesia Kelas 9 Sma Semester 1 Youtube
www.youtube.com

Bahasa Indonesia Kelas Ix
www.slideshare.net

Kegiatan 1 Membandingkan Bahasa Indonesia Kelas 9 Halaman 10 Operator Sekolah
arif.rahmawan.web.id

Materi Pelajaran Bahasa Inggris Smp Kelas 9 Semester 1 Dan 2 Jagoan Bahasa Inggris
www.jagoanbahasainggris.com

Contoh Soal Bahasa Indonesia Kelas 9 Serta Kunci Jawabannya
rumusbilangan.com

Kelas 9 Smp Bahasa Indonesia Kurikulum 2013 Semester 1 Dan 2 Youtube
m.youtube.com

Buku Lks Pr Smp Kelas 9 Bahasa Indonesia Semester 1 Intan Pariwara Shopee Indonesia
shopee.co.id

Soal Uts Bahasa Indonesia Kelas 9 Semester 1 Dan Kunci Jawaban Tahun Pelajaran 2017 2018 Kurikulum 2013 Ktsp Serta Pembahasannya Info Pendidikan Terbaru
www.guru-id.com

Contoh Soal Bahasa Inggris Kelas 6 Semester 1
rumusbilangan.com

Kisi Kisi Pas Bahasa Indonesia Smp Kelas 9 Semester Ganjil Kurikulum 2013 Tahun Pelajaran 2019 2020 Didno76 Com
www.didno76.com

Unduh Buku Bahasa Indonesia Smp Mts Kelas Ix Viii Vii Buku Siswa Dan Buku Guru Zuhri Indonesia
zuhriindonesia.blogspot.com

Kunci Jawaban Kisi Kisi Soa Latihan Kelas 9 Smp Semester 1 Bahasa Indonesia Bahasa Inggris Tribun Pontianak
pontianak.tribunnews.com

Jual Produk Smp Kelas 9 Kurikulum 2013 Murah Dan Terlengkap Februari 2020 Bukalapak
www.bukalapak.com

Buku Bahasa Indonesia Smp Kelas 9 K13 Revisi 2018 Shopee Indonesia
shopee.co.id

Materi Bahasa Indonesia Kelas 8 Kurikulum 2013 Revisi 2017
www.bukupaket.com

close