Mata Pelajaran Kurikulum Baru

Materi Pembelajaran Di Sd


File Modul Materi Pendidikan Pkn Di Sd Sem 1 Blognya Bang Fajar
bangfajars.wordpress.com

Wow Ternyata Materi Pelajaran Anak Kelas 3 Sd Sekarang Kaya Gini Gan Kaskus
m.kaskus.co.id

2

Inilah Jadwalnya Mulai Senin 13 April 2020 Siswa Sd Smp Sma Dapat Materi Pelajaran Di Siaran Tvri Wartakepri Co Id
wartakepri.co.id

Materi Daring Sangat Efektif Dan Menyenangkan Harian Bhirawa Online
www.harianbhirawa.co.id

Pdgk4503 Materi Dan Pembelajaran Ipa Sd Perpustakaan Ut
www.pustaka.ut.ac.id

I Pemanfaatan Tik Dalam Pembelajaran Di Sekolah Dasar Ppt Download
slideplayer.info

Materi Pelajaran Sd Smp Sma Belajar Dari Rumah Di Tvri 23 April 2020 Lengkap Dengan Link Dan Soal Tribun Jabar
jabar.tribunnews.com

Jadwal Dan Materi Pembelajaran Di Tvri Minggu Ke 2 21 26 April 2020 Ruang Pendidikan
www.ruangpendidikan.site

Jadwal Selasa 21 April 2020 Belajar Dari Rumah Di Tvri Materi Paud Sd Smp Dan Sma Ada Pak Ridwan Tribun Pontianak
pontianak.tribunnews.com

Pin On Dokumen Dan Aplikasi Xlsx Pendidikan
id.pinterest.com

Ringkasan Materi Pbl Ipa Sd
studylibid.com

Download Pdf Pembelajaran Program Belajar Dari Rumah Di Tvri Minggu Keempat 4 10 Mei 2020
www.phiradio.net

Pembelajaran Matematika Materi Fpb Dan Kpk Di Sd Dengan Pendekatan Pmr Model Penyajian Paket Makanan Steemit
steemit.com

Pdf Model Pembelajaran Ipa Berbasis Kecerdasan Spiritual Di Sekolah Dasar Pada Materi Evolusi Darwin
www.researchgate.net

Silabus Kelas 4 Sd Kurikulum 2013 Revisi 2018 Semua Tema Materi Pelajaran 5
duniafitnese.blogspot.com

Strategi Pembelajaran Di Sd Shopee Indonesia
shopee.co.id

Blog Pembelajaran Ict Sofia Wangge Poster Materi Globalisasi Untuk Siswa Sd
wanggesofia.blogspot.com

Efektifitas Pendekatan Contextual Teaching And Learning Ctl Dalam Pembelajaran Bahasa Indonesia Di Sekolah Dasar Al Azkiya Jurnal Ilmiah Pendidikan Mi Sd
journal.iainlangsa.ac.id

Media Pembelajaran Multimedia Interaktif Untuk Sekolah Dasar Materi Lingkungan Bersih Youtube Di 2020 Sekolah Dasar Belajar Multimedia
id.pinterest.com

H Pengembangan Materi Ajar Di Sekolah Dasar Ppt Download
slideplayer.info

Materi Pembelajaran Sholat Di Sd Mi Tugas Individu Kkn Dr Kelompok 149 Uinsu Youtube
www.youtube.com

H Pengembangan Materi Ajar Di Sekolah Dasar Ppt Download
slideplayer.info

Soal Ujian Ut Pgsd Pdgk4401 Materi Dan Pembelajaran Pkn Sd Disertai Kunci Jawaban Soal Universitas Terbuka
www.soalut.com

Buku Original Materi Dan Pembelajaran Ipa Di Sd Penerbit Universitas Terbuka Di Lapak Toko Buku Eric Jaya Bukalapak
www.bukalapak.com

Materi Pelajaran Komputer Untuk Anak Usia Sd Saat Ini Modul Komputer
modulkomputer.com

Modul 1 Tematik Mindmeister Mind Map
www.mindmeister.com

Jual Buku Materi Dan Pembelajaran Di Sd Edisi 1 Jakarta Barat Bookssn Tokopedia
www.tokopedia.com

Pembelajaran Digital Google Classroom Di Sd Islam Al Azhar 29 Bsb Semarang Sd Islam Al Azhar 29 Semarang
sd-alazhar29.sch.id

Materi Untuk Buku Pembelajaran Ips Di Sd
www.slideshare.net

Panduan Materi Pembelajaran Di Tvri Untuk Paud Sd Smp Sma Minggu Kedua 20 24 April 2020 Ipung Net
www.ipung.net

Pdf Pengembangan Perangkat Pembelajaran Ips Dengan Metode Saintifik Untuk Meningkatkan Kemampuan Berpikir Kritis Siswa Materi Globalisasi Di Sekolah Dasar
www.researchgate.net

Format Laporan Kegiatan Belajar Mengajar Online Untuk Guru Sd Sekolahdasar Net
www.sekolahdasar.net

Jumaratun Guru Sd Di Kendal Ini Rela Datangi Rumah Siswa Untuk Berikan Materi Pembelajaran Tatap Muka Halo Semarang
halosemarang.id

Materi Pembelajaran Sd Kelas 2 Youtube
www.youtube.com

Materi Sbk Sd Kelas 5 Sitecampaign
sitecampaign604.weebly.com

Ppt Pemanfaatan Alat Peraga Matematika Dalam Pembelajaran Di Sd Powerpoint Presentation Id 2209539
www.slideserve.com

Pin Di Www Soalut Com
id.pinterest.com

Praktik Yang Baik Di Sekolah Dasar Madrasah Ibtidaiyah Sd Mi Shared
shared.rti.org

Materi Pembelajaran Bahasa Inggris Kelas 3 Sd Filius Dei Youtube
www.youtube.com

Unik Jelang Ujian Bocah Sd Basuh Kepala Dengan Materi Di Buku Pelajaran Halaman All Kompas Com
www.kompas.com

Analisis Materi Ips Di Sd
id.scribd.com

Begini Materi Belajar Dari Rumah Di Tvri Untuk Murid Sekolah Dasar
www.idntimes.com

Materi Seri Webinar Guru Belajar Adaptasi Pembelajaran Masa Pandemi Dit Gtk Dikdas 2020 Pgdikdas 2020
pgdikdas.kemdikbud.go.id

Pdf Media Pembelajaran Tematik Di Sekolah Dasar Muhammadiyah
www.researchgate.net

Pembelajaran Ips Di Sd Mi Shopee Indonesia
shopee.co.id

Jual Buku Materi Pokok Modul1 6 Edisi 1 Pembelajaran Terpadu Di Sd Jakarta Timur Santai Book Tokopedia
www.tokopedia.com

Mencari Arti Contoh Soal Pdgk 4502 Pengembangan Kurikulum Dan Pembelajaran Di Sd
eko-sg.blogspot.com

Rpp Bahasa Arab Kelas Iii Sd Semester 11
online.fliphtml5.com

Buku Strategi Pembelajaran Di Sd Shopee Indonesia
shopee.co.id

Pembelajaran Ummi Jilid 1 Materi 2 Halaman 2 4 Di Buku Sd Islam Aqzia Youtube
www.youtube.com

Materi Pembelajaran Lewat Tvri Untuk Paud Sd Smp Sma Info Pendidikan Terbaru
www.guru-id.com

Materi Pembelajaran Pkn Kelas 1 Sd Youtube
www.youtube.com

Pembelajaran Tematik Di Sd Pengertian Karakteristik Dan Keunggulannya Tugasbelajarku Com
www.tugasbelajarku.com

Infokus Sebagai Media Pembelajaran Di Sd Sekolahdasar Net
www.sekolahdasar.net

Materi Pembelajaran Sd Dari Tvri Dianggap Cukup Banyak Dan Sulit Orang Tua Harus Cari Solusi Lain Tribun Pontianak
pontianak.tribunnews.com

Jual Buku Materi Pokok Pgsd4411 Pembaharuan Pembelajaran Di Sd Kota Tangerang Sweetbookstore Tokopedia
www.tokopedia.com

Inovasi Pendidikan Modul Pembelajaran Berprograma Diujicobakan Di Sd Dan Smp Moral And Intellectual Integrity
uad.ac.id

Materi Pembelajaran Bahasa Indonesia Di Kelas
id.scribd.com

Pembaharuan Inovasi Pembelajaran Di Sd
studylibid.com

Soal Dan Jawaban Kelas 1 3 Sd Di Tvri Kamis 1 Oktober Materi Pembelajaran Tematik Warta Kota
wartakota.tribunnews.com

Doc Rangkuman Pembelajran Ips Di Sd Modul 1 7 Sumaiyah Sukono Academia Edu
www.academia.edu

Soal Jawaban Pelajaran Kelas 1 3 Sd Di Tvri 3 Juni Materi Petualangan Oki Nirmala
personalfinance.kontan.co.id

Materi Pembelajaran Sd Modul 4 Power Authorstream
www.authorstream.com

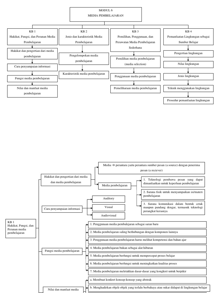
Modul 6
id.scribd.com

Materi Sbk Sd Kelas 5 Biteenergy
biteenergy.weebly.com

Resensi Pentingnya Membentuk Pemahaman Guru Terhadap Pembelajaran Siswa Pgmi 1e 2014 Iain Tulungagung
pgmi1e2014iainta.wordpress.com

Guru Sd Di Makassar Bahas Pemanasan Global Untuk Pembelajaran Pemerintahan Daerah
www.gatra.com

Materi Pembelajaran Lewat Tvri Untuk Paud Sd Smp Sma Info Pendidikan Terbaru
www.guru-id.com

Soal Dan Kunci Jawaban Materi Pembelajaran Di Tvri Untuk Sd Kelas 1 6 Pekan Pertama April 2020
www.merdekabelajar.my.id

Ppt Pembelajaran Terpadu Powerpoint Presentation Free Download Id 4840438
www.slideserve.com

Rat Evaluasi Pembelajaran Di Sd
www.slideshare.net

Tugas 1 Modul 6 Merancang Dan Menerapkan Metode Pembelajaran Ips
id.scribd.com

Jual Produk Buku Materi Pembelajaran Murah Dan Terlengkap Juli 2020 Bukalapak
m.bukalapak.com

Materi Pembelajaran Sd Kelas 2 Youtube
www.youtube.com

Also Illustrates That Many Possible Methods Of Formative Evaluation Can Download Scientific Diagram
www.researchgate.net

Linguistik Fungsional Sistemik Analisis Teks Materi Pembelajaran Di Sekolah Dasar Sd
repository.usu.ac.id

Asesmen Pembelajaran Sd
www.slideshare.net

Pdgk4301 Evaluasi Pembelajaran Di Sd Perpustakaan Ut
www.pustaka.ut.ac.id

Pengembangan Model Pembelajaran Make A Match Dengan Teori Gagne Pada Pembelajaran Matematika Materi Pecahan Di Sd Kelas Iv Umm Institutional Repository
eprints.umm.ac.id

Metode Media Dan Strategi Pembelajaran Ips Di Sd Pgsd Kita
pgsdkita.blogspot.com

Peduli Pendidikan Satgas Tmmd Beri Materi Pelajaran Matematika Di Sd Lanjau Channeltujuh
channeltujuh.com

Doc Tt1 Evaluasi Pembelajaran Di Sd Siti Zulaikah Academia Edu
www.academia.edu

Strategi Literasi Dalam Pembelajaran Di Sekolah Dasar Sd Modul Materi Penyegaran Instruktur Kurikulum 2013 Dapodik Co Id
www.dapodik.co.id

Materi Pembelajaran Bahasa Indonesia Sd Mindmeister Mind Map
www.mindmeister.com

Rangkuman Mata Pelajaran Kelas 4 Sd Mi For Android Apk Download
apkpure.com

Pdgk4405 Materi Dan Pembelajaran Ips Sd Perpustakaan Ut
www.pustaka.ut.ac.id

Rangkuman Materi Bahasa Inggris Sd Kelas 5 Jagoan Bahasa Inggris
www.jagoanbahasainggris.com

Materi Dan Soal Belajar Di Tvri Sd Smp Sma Minggu Kedua 20 24 April 2020 Info Pendidikan Terbaru
www.guru-id.com

Tugas Iii Pembelajaran Ipa Di Sd
studylibid.com

Orangtua Ambil Materi Hingga Tatap Muka Terbatas Kaltim Post
kaltim.prokal.co

G Perancangan Pembelajaran Yang Mendidik Ppt Download
slideplayer.info

Pin Di Yanti
www.pinterest.com

Strategi Pembelajaran Bahasa Indonesia Di Sekolah Dasar Dengan Media
www.slideshare.net

Apa Itu Montessori Pengertian Dan Implementasinya Di Setiap Umur Anak
www.stella-maris.sch.id

Materi Pelajaran Komputer Yang Cocok Untuk Anak Sd Modul Komputer
modulkomputer.com

Buku Sumber Untuk Dosen Lptk Pembelajaran Literasi Sd Di Lptk Shared
shared.rti.org

Pdgk 4405 Materi Dan Pembelajaran Ips Di Sd Esprit Cad Cam Free Download
esprit-cad-cam-free-download.simplecast.com

Media Pembelajaran Tangga Pintar Penjumlahan Untuk Kelas 1 Sd Mitra Kuliah
www.mitrakuliah.com

Pin On Ipa
id.pinterest.com

close