Mata Pelajaran Kurikulum Baru

Mata Pelajaran Sma Kelas 10


Rpp 1 Lembar Bahasa Inggris Kelas 10 Sma Ma Antapedia Com
www.antapedia.com

Silabus Sma K13 Revisi Terbaru Kelas X Xi Xii Semua Mapel Halaman All Kompasiana Com
www.kompasiana.com

Https Encrypted Tbn0 Gstatic Com Images Q Tbn 3aand9gcqajoosoilqbhgspztguvevbpuigwqic1poradkohlpf4etqay6 Usqp Cau
encrypted-tbn0.gstatic.com

Newxplore Ulangan Harian Sma Ma Ipa Kelas 10 Di Lapak Toko Komikkita Bukalapak
www.bukalapak.com

Contoh Jadwal Pelajaran Sma Kelas X Kementerian Pendidikan Dan Kebudayaan Ri Facebook
id-id.facebook.com

Ukbm Biologi Kd 3 7 2
online.fliphtml5.com

Rpp Revisi 2017 Bahasa Jerman Peminatan Kelas 10 Sma Sma Bahasa Jerman Bahasa
www.pinterest.com

Rpp 1 Lembar Matematika Peminatan Kelas 10 Sma Ma Antapedia Com
www.antapedia.com

Kelas 10 Sma Mata Pelajaran Olahraga Dan Prakarya Dikurangi Jamnya Surya Malang
suryamalang.tribunnews.com

Soal Bahasa Inggris Kelas 10 Sma Smk Ma Stm Pg Essay 2020
materibelajar.co.id

Stiker Mata Pelajaran Sma Ips Kurtilas Shopee Indonesia
shopee.co.id

Materi Ipa Kelas 10 Kurikulum 2013 Guru Ilmu Sosial
www.ilmusosial.id

Buku Pelajaran Sekolah Menengah Atas Lazada
www.lazada.co.id

Silabus K13 Bimbingan Dan Konseling Bk Kelas 10 Sma Semester 1 Dan 2 Revisi 2020 Di 2020 Kurikulum Rencana Pembelajaran Sosiologi
id.pinterest.com

Xplore Ulangan Harian Sma Ma Ips Kelas 10 Shopee Indonesia
shopee.co.id

Materi Vektor Mata Pelajaran Matematika Peminatan Kelas X Sma K13 Diketahui Suatu Segitiga Brainly Co Id
brainly.co.id

Doc Contoh Soal Uts Bahasa Inggris Ganjil Kelas 10 Sma Smstr Dexorate Dexorate Academia Edu
www.academia.edu

Buku Bse Prakarya Dan Kewirausahaan Kelas 10 Semester 1 Edisi Tahun 2017 Jejaring Sebelas
sebelas.net

Pdf Silabus Mata Pelajaran Matematika Peminatan Satuan Pendidikan Sma Kelas Xsistem Persamaansistem Pertidaksamaan Rini Minarti Academia Edu
www.academia.edu

Soal Ulangan Ujian Bahasa Inggris Kelas 10 Semester 1 Uas Bahasa Inggris Kelas 10 Sma Youtube
www.youtube.com

Soal Uts Bahasa Inggris Sma Mata Pelajaran Bahasa Inggris Sat Pendidikan Sma Kelas 10 Sepuluh Tahun Pelajaran 2018 2019
www.scribd.com

Latihan Soal Uas Kelas 10 Sma Semester 1 Ganjil
www.bukupaket.com

Buku Kurikulum 2013 Revisi 2017 Sma Smk Ma Mak Kelas 10 11 Semester 1 Dan 2 Buku Kurikulum Buku Sejarah
id.pinterest.com

Rpp 1 Lembar Bahasa Indonesia Kelas 10 Sma Ma Antapedia Com
www.antapedia.com

Materi Ipa Kelas 10 Smk Pdf Guru Ilmu Sosial
www.ilmusosial.id

Soal Ujian Kelas 10 Semester 1 2019 Guru Ilmu Sosial
www.ilmusosial.id

Contoh Rpp Bahasa Inggris Kelas 10 Sma Kurikulum 2013
www.ilmubahasainggris.com

Jadwal Pelajaran Sma T P 2017 2018 Tunjukkan Potensi Terbaikmu
thedreamclass.wordpress.com

Rpp 1 Lembar Matematika Wajib Kelas 10 Sma Ma Antapedia Com
www.antapedia.com

Tolong Di Jawab Tugas Bhs Inggris Kelas 10 Halaman 126 Brainly Co Id
brainly.co.id

Rangkuman Semua Mata Pelajaran Sma Kelas 10 For Android Apk Download
apkpure.com

Buku Guru Dan Buku Siswa Kelas 10 Kurikulum 2013 K13 Edisi Revisi 2017
www.amongguru.com

Materi Ekonomi Kelas 10 Guru Ilmu Sosial
www.ilmusosial.id

Jual Buku Sma Kelas 1 Lks Bahasa Inggris Kelas 10 Semester 1 2019 2020 Jakarta Utara Luwesrahimah Tokopedia
www.tokopedia.com

Buku Paket Kelas 10 Pendidikan Agama Islam Pai Kurikulum 2013 Revisi 2017 Sekolah Siswa 1 Sma Smk X Shopee Indonesia
shopee.co.id

Jual Lks Kimia Sma Kelas 10 Semester 2 Viva Kota Madiun Lks Smk Sma Smp Mts Sd Tokopedia
www.tokopedia.com

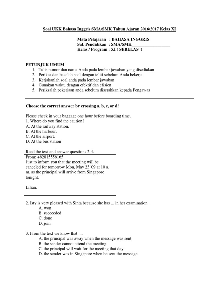
Soal Ukk Bahasa Inggris Sma Smk Tahun Ajaran 2016 2017 Kelas Xi Mata Pelajaran Bahasa Inggris Sat Pendidikan Sma Smk Kelas Program Xi Sebelas Aquarium Fishkeeping
www.scribd.com

Rpp Perangkat Pembelajaran Kelas 10 X Sma Ma Kurikulum 2013 Mata Pelajaran Lengkap Revisi Terbaru Tahun 2019 2020
gudangilmudansoal823.blogspot.com

Rangkuman Semua Mata Pelajaran Sma Kelas 10 For Android Apk Download
apkpure.com

Rpp 1 Lembar Geografi Kelas 10 Sma Ma Antapedia Com
www.antapedia.com

Download Buku Siswa Ktsp Sma Kelas 10 Mata Pelajaran Geografi Diy And Crafts Crafts
id.pinterest.com

Cd Pelajaran Fisika Sma Kelas 10
www.kreatifcd.web.id

Buku Guru Sma Kelas 12 Mapel Pa Khonghucu Dan Bp Kurikulum 2013 Revisi 2018 Buku Guru Kurikulum
www.pinterest.com

Guru Berbagi Rpp Daring Sma Biologi Kelas 10 Semester 1
guruberbagi.kemdikbud.go.id

2 Contoh Soal Uas Sejarah Sma Kelas 10 Kurikulum 2013 Tahun 2017 Adalah Salah Satu Materi Soal Latihan Untuk Menguji Kemampuan Siswa Kurikulum Sejarah Latihan
id.pinterest.com

2 Contoh Soal Uas Biologi Sma Kelas 10 Kurikulum 2013 Tahun 2017 Adalah Salah Satu Materi Soal Latihan Buat Referensi Siswa Siswi Unt Biologi Kurikulum Belajar
id.pinterest.com

Paket Buku Pr Sma Kelas 10 Semester 1 Kurikulum 2013 Intan Pariwara 1 Paket Isi 6 Mata Pelajaran Di Lapak Baredstore Bukalapak
www.bukalapak.com

Jual Paket Buku Sma Ips Kelas 10 Semester 2 Isi 7 Mata Pelajaran Kur Jakarta Selatan Zahwan Store 2019 Tokopedia
www.tokopedia.com

Rangkuman Semua Mata Pelajaran Sma Kelas 10 Aplikasi Di Google Play
play.google.com

Materi Pelajaran Pkn Kelas 10 Sma Semester 1 2 Lengkap
www.bukupaket.com

Kisi Kisi Unbk Bahasa Inggris Soal Dan Jawaban Uts Kelas 10 Sepuluh Smk Sma Semester Genap
pusatkj.blogspot.com

Materi Ipa Kelas 10 Kurikulum 2013 Guru Ilmu Sosial
www.ilmusosial.id

Jadwal Pelajaran Sma T P 2017 2018 Tunjukkan Potensi Terbaikmu
thedreamclass.wordpress.com

Ukk Bahasa Inggris Sma Kelas X Nature
www.scribd.com

Rangkuman Materi Biologi Sma Kelas 10 12 Utbk Sbmptn 2020 Yusuf Studi
www.yusufstudi.com

Buku Bahasa Inggris Sma Smk Kelas 10 Kurikulum 2013
www.slideshare.net

Xplore Ulangan Harian Sma Ma Ips Kelas 10 Shopee Indonesia
shopee.co.id

Catatan Kimia Sma Kelas 10 12
twitter.com

Soal Ulangan Ujian Geografi Kelas 10 Semester 1 Uas Geografi Kelas 10 Sma Youtube
www.youtube.com

Materi Sejarah Kelas 10 Sma Semester 1 2 Lengkap
www.bukupaket.com

Cd Pelajaran Fisika Sma Kelas 10 Shopee Indonesia
shopee.co.id

Download Kurikulum 2013 Sma Ma Iqbal Anas Dakwah Dan Pendidikan Sosial Media
www.iqbalanas.com

Silabus Seni Teater Kls 10 Wajib Pilihan
www.slideshare.net

Administrasi Guru Sma Kelas 10 Kurikulum 2013 Revisi Terbaru Perpuskampus Com
perpuskampus.com

Materi Kimia Sma Kelas 10 11 12 X Xi Xii Tips Belajar Terbaik
www.studiobelajar.com

Latihan 1 1 Definisi 1 1 Persamaan Pertidaksamaan Nilai Mutlak Kelas 10 Sma Smk Hal 15 Bse 2017 Youtube
www.youtube.com

Rpp 1 Lembar Pkn Kelas 10 Sma Ma Antapedia Com
www.antapedia.com

Soal Bahasa Inggris Kelas 11 Sma Smk Ma Stm Pg Essay 2020
materibelajar.co.id

Lengkap Kumpulan Soal Kelas 10 Sma Ma Semua Mata Pelajaran Bospedia
www.bospedia.com

Rpp 1 Lembar Pai Kelas 10 Sma Ma Terlengkap Antapedia Com
www.antapedia.com

Rangkuman Semua Mata Pelajaran Sma Kelas 10 For Android Apk Download
apkpure.com

Soal Latihan Pas Mata Pelajaran Biologi Sma Kelas 10 Tahun 2019 Bank Soal Biologi
www.banksoalbiologi.com

Z Bvr0dbcmurpm

Download Buku Siswa Ktsp Sma Kelas 10 Mata Pelajaran Biologi Education Books
id.pinterest.com

Jual Buku Sejarah Indonesia Sma Mata Pelajaran Wajib Sma Kelas 10 Seme Jakarta Barat Zulima Store 2019 Tokopedia
www.tokopedia.com

Doc Soal Latihan Matematika Wajib Semester 1 Kelas X Lailatul Asriya Academia Edu
www.academia.edu

Jadwal Pelajaran Sma T P 2017 2018 Tunjukkan Potensi Terbaikmu
thedreamclass.wordpress.com

Kelas 10 Sepaket 11 Mata Pelajaran Buku Sma Kelas X Pendidikan Buku Hobi Koleksi Bukalapak Com Inkuiri Com
m.inkuiri.com

Tum Hi Ho Song Video Floortartar S Blog
floortartar.hatenablog.com

Latihan Soal Pat Ukk Bahasa Inggris Kelas 10 Kurikulum 2013 Tahun 2020 Blognazmy Informasi Dunia Pendidikan Terbaru
blognazmy.blogspot.com

Kurikulum Baru 2013 Daftar Mata Pelajaran Wajib Dan Mata Pelajaran Pilihan Rideralam Com
rideralam.com

Download Contoh Soal Uas Semester Ganjil Sma Kelas X Mata Pelajaran Pendidikan Agama Islam Kurikulum 2013 Format Microsoft Word Words Microsoft Word Microsoft
id.pinterest.com

Rpp Revisi 2017 Pjok Kelas 10 Sma
www.slideshare.net

Download Buku Kurikulum 2006 Sma Ma Kelas 10 Lengkap Dadang Jsn
www.dadangjsn.com

Uts Bahasa Inggris Ganjil Kelas 10 Sma
www.scribd.com

Materi Matematika Kelas 10 Sma Kurikulum 2013 Semester 1 2
www.bukupaket.com

Download Buku Siswa Ktsp Sma Kelas 10 Mata Pelajaran Sosiologi Baseball Cards Cards Baseball
id.pinterest.com

Rpp 1 Lembar Pjok Kelas 10 Sma Ma Antapedia Com
www.antapedia.com

Materi Prakarya Kelas 10 Semester 2 Revisi 2017 Fasrexpo
fasrexpo146.weebly.com

Rencana Pelaksanaan Pembelajaran Rpp Satuan Pendidikan Sma N S Mata Pelajaran Sejarah Peminatan Kelas Semester Sheet Music Person Music
www.pinterest.com.au

Materi Matematika Wajib Kelas 10 Semester 2 Guru Ilmu Sosial
www.ilmusosial.id

Https Encrypted Tbn0 Gstatic Com Images Q Tbn 3aand9gcqu509424gzcobgtmz36yuigfiqzcetqewjcq7m7e5it7ezefpo Usqp Cau
encrypted-tbn0.gstatic.com

Rangkuman Semua Mata Pelajaran Sma Kelas 10 For Android Apk Download
apkpure.com

Download Rangkuman Semua Mata Pelajaran Sma Kelas 10 Free For Android Rangkuman Semua Mata Pelajaran Sma Kelas 10 Apk Download Steprimo Com
steprimo.com

Download Rpp Kurikulum 2013 Kelas 10 X Sma Ma Semua Mata Pelajaran Edisi Terbaru Pendidikan Kewarganegaraan Pendidikan Kewarganegaraan
ainamulyana.blogspot.com

Download Buku Siswa Ktsp Sma Kelas 10 Mata Pelajaran Belajar Efektif Bahasa Indonesia Convenience Store Products
id.pinterest.com

Soal Ulangan Ujian Bahasa Inggris Kelas 10 Semester 1 Uas Bahasa Inggris Kelas 10 Sma Jadwal Pendaftaran Cpns 2018
infocpns2018terbaru.blogspot.com

2 Contoh Soal Uas Bahasa Indonesia Sma Kelas 10 Kurikulum 2013 Tahun 2017 Terdapat Beberapa Rincian Materi Soal Untuk Di Jadi Kurikulum Bahasa Indonesia Bahasa
id.pinterest.com

Rangkuman Semua Mata Pelajaran Sma Kelas 10 For Android Apk Download
apkpure.com

File Pelajaran Ekonomi Untuk Sma Ma Kelas X
studylibid.com

Jual Buku Sma Kelas 1 Cd Rpp Perangkat Pembelajaran Smk Kelas 10 Kurikulum Jakarta Barat Harjausamah Tokopedia
www.tokopedia.com

Pdf Download Materi Ekonomi Sma Kelas X Xi Dan Xii Lengkap Yusuf Studi
www.yusufstudi.com

close