Mata Pelajaran Kurikulum Baru

Mata Pelajaran Ips Kelas 8


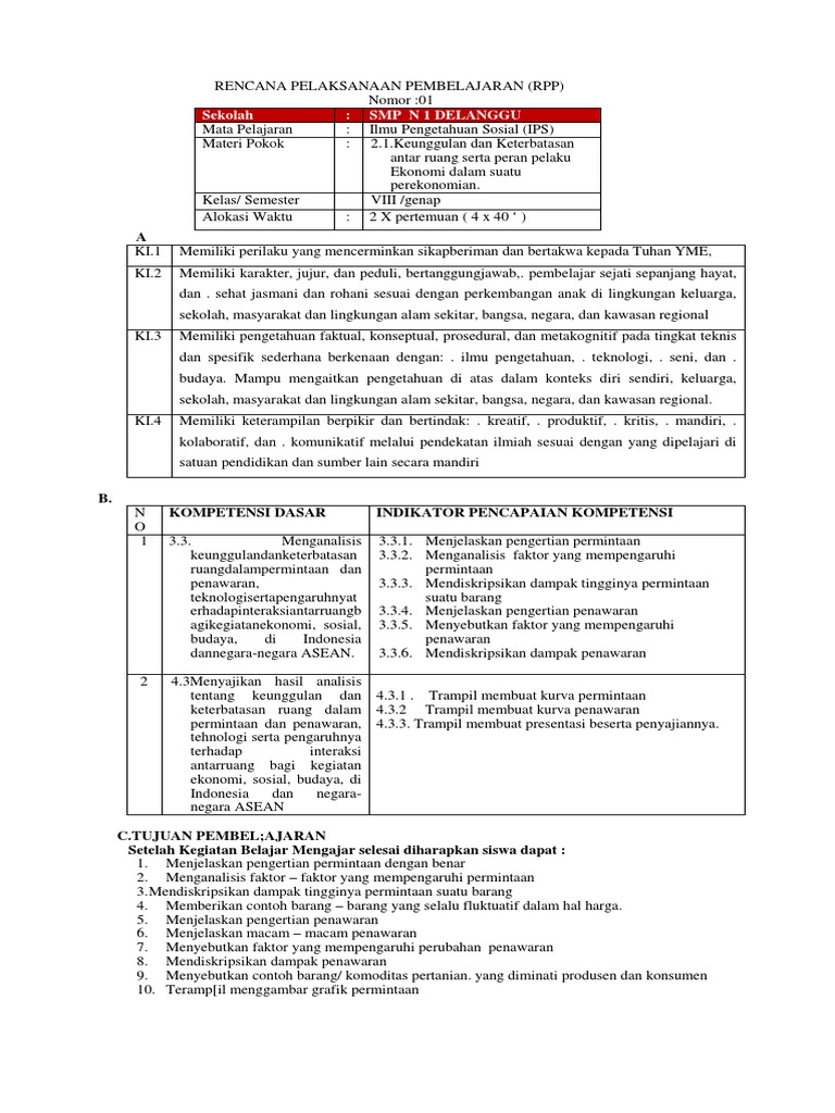
Jual Cd Rpp 1 Lembar Perhalaman Ips Kelas 8 Kurikulum 2013 Revisi Terbaru Kota Tangerang Masterlead Tokopedia
www.tokopedia.com

Aktivitas Kelompok Kegiatan 4 Ips Kelas 8 Semester 1 Tolong Soal Nya Dijawab Dan Dijelaskan Brainly Co Id
brainly.co.id

Materi Pelajaran Ilmu Pengetahuan Sosial Ips Kelas 8 Smp Negeri 01 Kabupaten Tebo
www.smpn1kabupatentebo.sch.id

I P S 8 Doc Google Drive
drive.google.com

Media Pembelajaran Ips Sejarah Kelas Viii Oleh Bambang Sudarto S Ppt Download
slideplayer.info

Guru Berbagi Rpp 1 Lembar Ips Smp Mts Kelas 8 Tahun 2020 2021
guruberbagi.kemdikbud.go.id

Rpp Ips Kelas 8 Semester Ganjil Lengkap Dengan Lk Dan Soal Didno76 Com
www.didno76.com

Rpp Revisi 2017 Ips Kelas 8 Smp
www.slideshare.net

Ilmu Pengetahuan Sosial Smp Mts Kelas Viii Semester 2 Kurikulum 2013 Edisi Revisi 2014 Buku Sekolah Elektronik Bse
www.myedisi.com

Soal Ips Kelas 8 Smp Mts Pg Dan Essay 2020 Semester 1 2
materibelajar.co.id

Kumpulan Soal Dan Kunci Jawaban Ips Kelas 8 Semester Genap Kurikulum 2013 Mgmp Ips Indramayu
www.mgmpipsindramayu.com

Implementasi Pembelajaran Berbasis Masalah Pada Hasil Belajar Siswa Mata Pelajaran Ips Kelas Iv Edumaspul Jurnal Pendidikan
ummaspul.e-journal.id

Prota Kls 8
id.scribd.com

Kisi Kisi Pat Ips Smp Kelas 8 Kurikulum 2013 Didno76 Com
www.didno76.com

Buku Ips Kelas 8 Smp Krl 2013 Halaman 61 Aktivitas Individu Brainly Co Id
brainly.co.id

Silabus Ips Kls 8 Smpn 10 Bengkulu Selatan
studylibid.com

Mata Pelajaran Ips Kelas Viii Youtube
www.youtube.com

Latihan Soal Pts Bahasa Inggris Kelas 8 Semester 1 Portal Edukasi
portaledukasi.org

Ips Kelas 8 Smp Yppk St Bernardus Youtube
www.youtube.com

Perangkat Pembelajaran Ips Smp Kelas 8 Semester Genap Mgmp Ips Indramayu
www.mgmpipsindramayu.com

Download Silabus Dan Rpp Ips Kelas 8 Smp Mts Kurikulum 2013
www.amongguru.com

Soal Latihan Ips Kelas 8 Semester 2 Guru Ilmu Sosial
www.ilmusosial.id

Buku Siswa Ips Kelas Viii Smp Kurikulum 2013
www.slideshare.net

Mata Pelajaran Ips Kelas 8 Youtube
www.youtube.com

Rpp Ips Kelas 7 Dan 8 Smp Kurikulum 2013 Kompasiana Com
www.kompasiana.com

Ips Kelas 8 Hal 68 Kegiatan 9 Brainly Co Id
brainly.co.id

Ips Semester 2 Kelas 8 Guru Ilmu Sosial
www.ilmusosial.id

Soal Ips Kelas 8 Kurtilas 2017 Healthlasopa
healthlasopa117.weebly.com

Asean Materi Ips Kelas 8 Semester 1 Youtube
www.youtube.com

Jual Media Pembelajaran Cd Bahan Ajar Powerpoint Ips Kelas 8 K13 Revisi Kota Tangerang Masterlead Tokopedia
www.tokopedia.com

Rpp Dan Silabus Ips Smp Kelas 8 Semester Genap Didno76 Com
www.didno76.com

Download Rpp 1 Lembar Ips Kelas 8 Semester Genap
shmadyweb.blogspot.com

Soal Dan Kunci Jawaban Uas Pas Ips Kelas 4 Semester 1 Gasal Serba Serbi Guru Pendidikan Peta Latihan
id.pinterest.com

Soal Ips Kelas 7 Semester Genap Tahun 2019 Pizzafasr
pizzafasr710.weebly.com

Smp Ips
mehrazanesabz.com

Buku Guru Ips Kelas Viii Smp Kurikulum 2013
www.slideshare.net

Prota Promes Ips Kelas 8 Smp Mts Kurikulum 2013 Revisi 2018 Websiteedukasi Com
www.websiteedukasi.com

Upaya Meningkatkan Hasil Dan Aktivitas Belajar Siswa Menggunakan Model Pembelajaran Picture And Picture Dalam Mata Pelajaran Ips Kelas Viii C Smp Kristen Ppt Download
slideplayer.info

Soal Ips Kelas 8 Smp Mts Pg Dan Essay 2020 Semester 1 2
materibelajar.co.id

Jawaban Essay Ips Kelas 8 Hal 274 Apa Brainly Co Id
brainly.co.id

Buku Paket Ips Kelas 8 Kurikulum 2013 Revisi Terbaru
www.cadiak.id

Pelaksanaan Pembelajaran Ilmu Pengetahuan Sosial
studylibid.com

Cd Rpp Kurtilas Pembelajaran Abad 21 Mata Pelajaran Ips Kls 8 Shopee Indonesia
shopee.co.id

Soal Dan Kunci Jawaban Pat Ips Smp Kelas 8 Kurikulum 2013 Tahun Pelajaran 2018 2019 Didno76 Com
www.didno76.com

Pat Ips 8
online.fliphtml5.com

Rpp Ips Kelas Viii
www.slideshare.net

Rpp Adaptif Ips Kelas 8 Semester Ganjil Kurikulum 2013 1 Lembar Mgmp Ips Indramayu
www.mgmpipsindramayu.com

Rangkuman Materi Pelajaran Ips Smp Kelas 8 Kurikulum 2013 Jagoan Sekolah
www.jagoansekolah.com

Rpp Ips Kelas 8 Semester Ganjil Tahun Pelajaran 2019 2020 Didno76 Com
www.didno76.com

Buku Guru Ips Kelas Viii Smp Kurikulum 2013
www.slideshare.net

Ips Kelas 8 Semester 1 Kurikulum 2013 Guru Ilmu Sosial
www.ilmusosial.id

Perangkat Pembelajaran Ips Smp Kelas 8 Kurikulum 2013 Semester Ganjil Rpp Terbaru Mgmp Ips Indramayu
www.mgmpipsindramayu.com

Kisi Kisi Soal Dan Kunci Jawaban Pas Ips Smp Kelas 8 Semester Ganjil Didno76 Com
www.didno76.com

Download Bank Soal Ips Smp Kelas 8 Avidintensive
avidintensive.weebly.com

Ppt Rpp Smp Ips Kelas Viii Bab I Semester Ganjil Docx Pdf Powerpoint Presentation Id 7752698
www.slideserve.com

Rpp Ips Kls 8 Semester 2 Docx
id.scribd.com

Materi Pelajaran Ips Kelas 7 Lengkap Guru Ilmu Sosial
www.ilmusosial.id

Prota Promes Ips Kelas 8 Smp Mts Kurikulum 2013 Revisi 2018 Websiteedukasi Com
www.websiteedukasi.com

Kurikulum Smp Mts Silabus Ips Kelas 8 Viii Smp Mts Kurikulum 2013 Revisi 2018
kurikulumsmpmts.blogspot.com

Materi Ips Terpadu Kelas 8 Semester 1 2 Terbaru Kherysuryawan Id
www.kherysuryawan.id

Tugas Rpp Mata Pelajaran Ips Kelas 8
id.scribd.com

Mata Pelajaran Ips Terpadu Kelas 8 9 Perkenalan Youtube
www.youtube.com

Buku Ips Smp Kelas 8 K13 Revisi Terbaru Shopee Indonesia
shopee.co.id

Rpp Ips Kelas 8 Semester Genap Versi Lengkap Bukan 1 Lembar Edukasi Ips
www.edukasiips.com

Hasil Dan Motivasi Belajar Siswa Mata Pelajaran Ips Melalui Metode Kooperatif Tipe Modelling The Way Al Ishlah Jurnal Pendidikan Islam
ejurnal.iainpare.ac.id

Rpp 1 Lembar Ips Terpadu Kelas 8 Semester1 2 Revisi 2020 Kherysuryawan Id
www.kherysuryawan.id

Download Analisis Keterkaitan Skl Ki Kd Ips Kelas 7 8 Dan 9 Smp Mts
shmadyweb.blogspot.com

Buku Ips Smp Kelas 8 K13 Revisi Terbaru Shopee Indonesia
shopee.co.id

Latihan Soal Mata Pelajaran Ips Kelas Ix Mushlihatun Syarifah
www.msyarifah.my.id

Rpp Ips New Normal Kelas 7 8 Dan 9 Semester Ganjil Edukasi Ips
www.edukasiips.com

Peningkatan Aktivitas Belajar Siswa Melalui Metode Pembelajaran Index Card Match Pada Mata Pelajaran Ips Kelas Viii A Smp Negeri 15 Yogyakarta Tahun Ajaran 2012 2013 Lumbung Pustaka Uny
eprints.uny.ac.id

Kisi Kisi Penilaian Akhir Tahun Ips Kelas 8 Kurikulum 2013 Mgmp Ips Indramayu
www.mgmpipsindramayu.com

Lembar Kerja Peserta Didik Ips Kelas 8 Semester Genap Materi Pelaku Ekonomi Edukasi Ips
www.edukasiips.com

Materi 3 Mata Pelajaran Ips Kelas 7 8 Dan 9 Smp Negeri 1 Blora
smpn1blora.sch.id

Contoh Soal Ips Kelas 8 Semester 1 Kurikulum 2013
rumusbilangan.com

Silabus Ips Kls Viii Ade Kusdinar
studylibid.com

Materi Ips Kelas 8 Semester 2 Guru Ilmu Sosial
www.ilmusosial.id

Kegiatan 5 Ips Kelas 8 Guru Ilmu Sosial
www.ilmusosial.id

Membuat Soal Hots Ips Kelas 8 Materi Bab Ii
shmadyweb.blogspot.com

Peningkatan Motivasi Dan Hasil Belajar Siswa Pada Mata Pelajaran Ips Kelas Viii Melalui Media Audio Visual Di Mts Al Abror Blumbungan Pamekasan Siti Azizah Entita Jurnal Pendidikan Ilmu Pengetahuan Sosial Dan
ejournal.iainmadura.ac.id

Upaya Meningkatkan Partisipasi Dan Hasil Belajar Siswa Dengan Menggunakan Metode Diskusi Kelompok Pada Mata Pelajaran Ips Terpadu Kelas Viii Di Smp Negeri 19 Padang Pakar Pendidikan
pakar.pkm.unp.ac.id

Tugas Latihan Mengisi Libur Asap Ii Mata Smp Negeri 7 Kota Jambi Facebook
es-la.facebook.com

Soal Ulangan Ujian Uas Ips Kelas 8 Smp Semester 1 Youtube
www.youtube.com

Download Rpp Pjj Ips Kelas 8 Smp Laman Guru Berbagi Kemdikbud
www.amongguru.com

Unduh Buku Guru Dan Buku Siswa Smp Ips Kelas 8 Kurtilas Mushlihatun Syarifah
www.msyarifah.my.id

Buku Guru Ips Smp Kelas 8 For Android Apk Download
apkpure.com

Buku Guru Ips Kelas Viii Smp Kurikulum 2013
www.slideshare.net

Buku Guru Ips Kelas Viii Smp Kurikulum 2013
www.slideshare.net

Download Soal Uas Semester 1 Kelas 8 Ips Kurikulum 2013 Lasopalast
lasopalast848.weebly.com

Rpp Daring Ips Kelas 8 Semester Ganjil Tahun Pelajaran 2020 2021 Didno76 Com
www.didno76.com

Modul Ips Kelas Viii Semester 1 Keunggul
id.scribd.com

Pdf Meningkatkan Prestasi Belajar Siswa Kelas Viii F Smp Negeri 33 Surabaya Pada Mata Pelajaran Ips Materi Pranata Sosial Dengan Model Pembelajaran Snowball Throwing
www.researchgate.net

Contoh Instrumen Penilaian Harian 1 Ips Kelas 8 Semester Ganjil
shmadyweb.blogspot.com

Diagram Berikut Menunjukkan Nilai Ulangan Susulan Mata Pelajaran Ips Beberapa Siswa Kelas 8 Brainly Co Id
brainly.co.id

Rpp Ips Kelas 8 Semester 2 1 K13 Revisi 2017 Terbaru Info Pendidikan Terbaru
www.guru-id.com

Buku Guru Ips Smp Kelas 8 For Android Apk Download
apkpure.com

Soal Dan Kunci Jawaban Uas Pas Ips Kelas 4 Semester 1 Gasal Serba Serbi Guru Matematika Kelas 8 Matematika Kelas 5 Matematika Kelas 4
id.pinterest.com

Buku Guru Ilmu Pengetahuan Sosial Smp Mts Kelas Viii Kurikulum 2013 Edisi Revisi 2017 Buku Sekolah Elektronik Bse
www.myedisi.com

Materi Ips Kelas 8 Kurikulum 2013 Revisi 2017
www.bukupaket.com

6 Ki Kd Ips Smp Mts Kurikulum 2013
id.scribd.com

close