Mata Pelajaran Kurikulum Baru

Aktivitas 23 Pkn Kelas 8 Semester 1


Jawaban Tugas Kelompok 42 Pkn Kelas 9 Hal 114 Brainly Guru Ilmu Sosial
www.ilmusosial.id

Soal Dan Kunci Jawaban Ppkn Kelas 7 Kurikulum 2013 Aktivitas 2 3 Bab 2 Norma Dan Keadilan Youtube
www.youtube.com

Tugas Pkn Kelas Xi Tugas Mandiri 2 3 Semester 1 Kurikulum 2013 Beserta Jawabannya Solidar Aslaemi
solidaraslaemi.blogspot.com

Ukbm Ppkn 1 3 2 3 3 3 4 3 1 3 Pdf Free Download
docplayer.info

Kunci Jawaban Tugas Kelompok 51 Pkn Kelas 9 Halaman 136 Guru Ilmu Sosial
www.ilmusosial.id

Pdf Lampiran 18 Ki Dan Kd K 13 Sd Mi Ppkn Pdf Riksan Aryu Academia Edu
www.academia.edu

Tugas Mandiri 3 3 Pkn Kelas Xi Halaman 86 Kurikulum 2013 Beserta Jawabannya Solidar Aslaemi
solidaraslaemi.blogspot.com

Uji Kompetensi 3 Pkn Kelas 8 Guru Ilmu Sosial
www.ilmusosial.id

1 4 Rpp Tema 8 Sub 1 Ppkn Bahasa Indonesia Ips 1 Doc
id.123dok.com

Buku Guru Ppkn Kelas 8
www.slideshare.net

Kunci Jawaban Bin 8 K13 Unit 2
id.scribd.com

Tugas Bahasa Indonesia Kelas Viii Kegiatan 2 3 Unsur Unsur Pembentuk Iklan Halaman 34 Kurikulum 2013 Beserta Jawabannya Solidar Aslaemi
solidaraslaemi.blogspot.com

Aktivitas 2 3 Amatilah Pelaksanaan Norma Agama Tugas Pkn Kelas 7 Halaman 43 Kkaktri Channel Info Pendidikan
www.kkaktrichannel.info

Ayo Kita Berlatih 2 3 Matematika Smp Kelas 7 K 13 Materi Himpunan Youtube
www.youtube.com

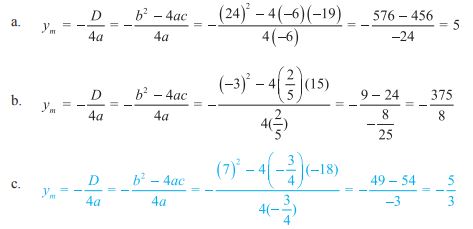
Latihan 2 3 Nomor 1 2 3 Kelas 9 Smp Mts Semester 1 Persamaan Dan Fungsi Kuadrat Bse Halaman 102 103 Youtube
www.youtube.com

Buku Guru Ppkn Kelas 8
www.slideshare.net

5 6 2 3 Docx
id.scribd.com

Aktivitas 2 6 Tabel 2 3 Peraturan Dalam Berbagai Kehidupan Bab 2 Norma Dan Keadilan Youtube
www.youtube.com

Kegiatan 2 3 Perhatikan Iklan Berikut Kemudian Jawablah Soal Soal Di Bawahnya Operator Sekolah
arif.rahmawan.web.id

Tugas Kelompok 2 3 Pkn Kelas 9 Brainly Co Id
brainly.co.id

Arti Penting Uud Negara Republik Indonesia Tahun 1945 Mendapatkan Pendidikan Tentang Tahun
tentangtahun.blogspot.com

Tugas Pkn Kelas Xi Tugas Mandiri 2 3 Semester 1 Kurikulum 2013 Beserta Jawabannya Solidar Aslaemi
solidaraslaemi.blogspot.com

2 3 Silabus Pkn Smp Mts Kls Ix Kurikulum 2013
id.scribd.com

Pkn Hal 46 Tugas Kelompok 2 3 Brainly Co Id
brainly.co.id

Tabel 2 3 Peraturan Dalam Berbagai Kehidupanno Aturanyangberlakutujuanmanfaat Sendiri Masyarakat Brainly Co Id
brainly.co.id

Buku Guru Ppkn Kelas 8
www.slideshare.net

Tabel 2 3 Arti Penting Uud Negara Republik Indonesia Tahun 1945 Brainly Co Id
brainly.co.id

5 6 2 3
id.scribd.com

Jawaban Buku Bahasa Indonesia Kelas 8 Kegiatan 2 3 Hal 34 35 Hal Apakah Yang Ditawarkan Pentium Sintesi
pentiumsintesi.blogspot.com

Aktivitas 2 3 Tabel 2 3 Arti Penting Uud 1945 Pkn Kelas 8 Halaman 41 42 Kkaktri Channel Info Pendidikan
www.kkaktrichannel.info

Tugas Pkn Kelas Xi Tugas Mandiri 2 3 Semester 1 Kurikulum 2013 Beserta Jawabannya Solidar Aslaemi
solidaraslaemi.blogspot.com

Ppkn Smp Kelas 8 Kurikulum 2013 Aplikasi Di Google Play
play.google.com

2 3 Silabus Pkn Smp Mts Kls Ix Kurikulum 2013
id.scribd.com

Kunci Dan Perangkat Pkn Smp Kelas 8
www.slideshare.net

Tugas Mandiri 3 3 Pkn Kelas Xi Halaman 86 Kurikulum 2013 Beserta Jawabannya Solidar Aslaemi
solidaraslaemi.blogspot.com

Buku Guru Ppkn Kelas Viii Edisi Revisi 2017
www.slideshare.net

Tabel 2 3 Identifikasi Permasalahan Permasalahan Yang Melibatkan Indonesia Dengan Negara Lain Operator Sekolah
arif.rahmawan.web.id

Buku Guru Ppkn Kelas 8
www.slideshare.net

Aktivitas 2 3 Coba Kalian Diskusikan Secara Kelompok Pertanyaan Berikut Operator Sekolah
arif.rahmawan.web.id

Pkn Kelas 8 Bab 2 Aktivitas 21 Key
keysetiawan.blogspot.com

Pdf Buku Guru Kelas 8 Smp Ppkn Heru Myph Academia Edu
www.academia.edu

Amandemen Rencana Pelaksanaan Pembelajaran Rpp 5 Nama Sekolah Smp Negeri 32 Semarang Mata Pelajaran Pendidikan Kewarganegaraan Pkn Kelas Semester Course Hero
www.coursehero.com

Contoh Soal Aktivitas 2 3 1 Apa Pelajaran Ppkn Ips Ipa Facebook
www.facebook.com

Tugas Pkn Kelas Viii Tabel 2 3 Arti Penting Uud Negara Republik Indonesia Tahun 1945 Halaman 41 Kurikulum 2013 Beserta Jawabannya Solidar Aslaemi
solidaraslaemi.blogspot.com

Buku Guru Ppkn Kelas Viii Edisi Revisi 2017
www.slideshare.net

Tugas Mandiri 2 3 Cobalah Tuliskan 5 Peristiwa Yang Pernah Kalian Alami Operator Sekolah
arif.rahmawan.web.id

Tugas Pkn Kelas 10
ppkn.co.id

Jawaban Tugas Kelompok 42 Pkn Kelas 9 Guru Ilmu Sosial
www.ilmusosial.id

Lks Kelas Viii Semester 1 Kd 2 3
www.slideshare.net

Aktivitas 2 6 Tabel 2 3 Peraturan Dalam Berbagai Kehidupan Tugas Pkn Halaman 52 53 Kkaktri Channel Info Pendidikan
www.kkaktrichannel.info

Tabel 2 3 Arti Penting Uud Negara Republik Indonesia Tahun 1945 Brainly Co Id
brainly.co.id

Tugas Mandiri Kunci Jawaban Buku Paket Pkn Kelas 9 Kurikulum 2013 Guru Ilmu Sosial
www.ilmusosial.id

Lfns8ukjjlus3m

Apa Itu Warga Negara Brainly Berbagi Cara
berbagicaramu.blogspot.com

Rpp Pkn Xi 1 Dan 2 Kur 2013
www.slideshare.net

Ukbm Ppkn 1 3 2 3 3 3 4 3 1 3 Pdf Free Download
docplayer.info

2 3 Silabus Pkn Smp Mts Kls Ix Kurikulum 2013
id.scribd.com

Tabel 2 3 Arti Penting Uud Negara Republik Indonesia Tahun 1945 Brainly Co Id
brainly.co.id

2

Tabel 2 3 Peraturan Dalan Berbagai Kehidupan Brainly Co Id
brainly.co.id

Kunci Jawaban Bahasa Indonesia Kelas 8 Kurikulum 2013 Revisi 2017 Guru Ilmu Sosial
www.ilmusosial.id

Tugas Pkn Kelas Viii Tabel 2 3 Arti Penting Uud Negara Republik Indonesia Tahun 1945 Halaman 41 Kurikulum 2013 Beserta Jawabannya Solidar Aslaemi
solidaraslaemi.blogspot.com

Pdf Rpp Pkn Kelas 5 Semester 1 Neni Herawati Academia Edu
www.academia.edu

Rpp Ppkn Kd 3 3 Kelas Vii Smp
www.slideshare.net

Aktivitas 2 3 Amatilah Pelaksanaan Norma Agama Tugas Pkn Kelas 7 Halaman 43 Kkaktri Channel Info Pendidikan
www.kkaktrichannel.info

Tugas Mandiri 2 3 Coba Kalian Amati Dan Rasakan Bagaimana Pelaksanaan Karakteristik Negara Demokratis Operator Sekolah
arif.rahmawan.web.id

Tugas Pkn Kelas Vii Aktivitas 2 3 Halaman 43 Kurikulum 2013 Beserta Jawabannya Solidar Aslaemi
solidaraslaemi.blogspot.com

Buku Siswa Ppkn Kelas Viii Edisi Revisi 2017
www.slideshare.net

Pkn Kelas 8 Bab 2 Aktivitas 21 Key
keysetiawan.blogspot.com

Buku Guru Ppkn Kelas 8
www.slideshare.net

Jawaban Tugas Mandiri 52 Pkn Kelas 9 Halaman 125 Guru Ilmu Sosial
www.ilmusosial.id

Tugas Pkn Kelas Xii Tugas Mandiri 2 3 Halaman 52 55 Kurikulum 2013 Beserta Jawabannya Solidar Aslaemi
solidaraslaemi.blogspot.com

Silabus Pkn X Semester 1
www.slideshare.net

Tugas Pkn Kelas Vii Tabel 2 3 Peraturan Dalam Berbagai Kehidupan Halaman 53 Kurikulum 2013 Beserta Jawabannya Solidar Aslaemi
solidaraslaemi.blogspot.com

Buku Guru Ppkn Kelas Viii Edisi Revisi 2017
www.slideshare.net

Tolong Dijawab Semuanya Pkn Kelas 9 Brainly Co Id
brainly.co.id

Aktivitas 2 3coba Kalian Diskusikan Secara Kelompok Pertanyaan Berikut 1 Apa Manfaat Uud Negara Brainly Co Id
brainly.co.id

Tugas Pkn Kelas Viii Tabel 2 3 Arti Penting Uud Negara Republik Indonesia Tahun 1945 Halaman 41 Kurikulum 2013 Beserta Jawabannya Solidar Aslaemi
solidaraslaemi.blogspot.com

Tabel 1 3 Pancasila Sebagai Dasar Negara Dan Pandangan Hidup Tolong Dijawabb Terima Kasih Brainly Co Id
brainly.co.id

Pembahasan Ayo Kita Berlatih 2 3 Matematika Kelas 7 Bab Himpunan K13 Kedai Mipa
www.allmipa.com

Kegiatan 2 5 Bagian B Bahasa Indonesia Kelas 8 Brainly Co Id
brainly.co.id

Uji Kompetensi 2 2 Dan 2 3 Tolong Please Brainly Co Id
brainly.co.id

Buku Guru Ppkn Kelas 8
www.slideshare.net

Soal Dan Kunci Jawaban Ppkn Kelas 7 Kurikulum 2013 Aktivitas 2 3 Bab 2 Norma Dan Keadilan Youtube
www.youtube.com

Tugas Mandiri 2 2 Apa Yang Harus Dilakukan Oleh Bangsa Indonesia Dalam Mencapai Cita Cita Operator Sekolah
arif.rahmawan.web.id

Amandemen Rencana Pelaksanaan Pembelajaran Rpp 5 Nama Sekolah Smp Negeri 32 Semarang Mata Pelajaran Pendidikan Kewarganegaraan Pkn Kelas Semester Course Hero
www.coursehero.com

1 4 Rpp Tema 8 Sub 1 Ppkn Bahasa Indonesia Ips 1 Doc
id.123dok.com

Ayo Kita Berlatih 2 3 Tolong Bantu Yaaaaa Brainly Co Id
brainly.co.id

Buku Guru Ppkn Kelas 8
www.slideshare.net

Aktivitas 2 3 Coba Kalian Diskusikan Secara Kelompok Pertanyaan Berikut Operator Sekolah
arif.rahmawan.web.id

Tugas Mandiri 2 3 Pkn Kelas 12 Sma Halaman 52 55 Operator Sekolah
arif.rahmawan.web.id

Tolong Dijawab Yah Aktivitas 2 4 Pkn Kelas 8 Semester 1 Brainly Co Id
brainly.co.id

Rpp Ppkn Kd 3 2 Kelas 8
id.scribd.com

Rpp Pkn Xi 1 Dan 2 Kur 2013
www.slideshare.net

Aktivitas 2 1 Coba Kalian Buat Tabel Bagan Hubungan Isi Proklamasi Kemerdekaan Dan Pembukaan Uud 1945 Operator Sekolah
arif.rahmawan.web.id

Tugas Pkn Kelas Ix Tugas Mandiri 2 3 Halaman 38 Kurikulum 2013 Beserta Jawabannya Solidar Aslaemi
solidaraslaemi.blogspot.com

Tugas Mandiri 2 4 Halaman 39 Kelas 9 Brainly Co Id
brainly.co.id

Jawaban Buku Siswa Matematika Kelas 9 Latihan 2 3 Hal 102 Pentium Sintesi
pentiumsintesi.blogspot.com

Buku Siswa Ppkn Kelas Viii Edisi Revisi 2017
www.slideshare.net

Pkn Mandiri 2 3 Kelas Xi Kurikulum 2013
www.slideshare.net

close